Application For Tax Clearance Certificate - Form Tsd 10 Fillable Application For Tax Clearance Certificate Eff 1 1 07 : All taxes >> returns and compliance.
Dapatkan link
Facebook
X
Pinterest
Email
Aplikasi Lainnya
Application For Tax Clearance Certificate - Form Tsd 10 Fillable Application For Tax Clearance Certificate Eff 1 1 07 : All taxes >> returns and compliance.. When you receive the tax registration number for the voluntary body, you can apply for a tax clearance certificate using the electronic tax clearance (etc) system. To obtain an income tax clearance certificate. Sub application for the tax clearance certificate ref tax return no000258 dated march 28 2011 i with this letter hereby request you for the tax clearance certificate for the tax return as above filed for this year. Unemployment insurance (uif) filing is done separately on www.ufiling.gov.za.as with efiling, you can submit your uif declarations and pay your contributions through this free service. A tax clearance certificate verifies the entity satisfied all tax obligations due to the commonwealth, including taxes, interest, penalties, fees, charges and any other liabilities.
Following documents should be submitted with photocopies. Great care should be taken to have the corporate name spelled correctly, as even a slight misspelling will generally make it difficult to identify the corporation for which the application is made. The relative application form may be acquired from any branch of district tax office and may be submitted through multiple sources such as submitting via email. Form year form published ; 25 january 2021 please rate how useful this page was to you print this page.
Mdk416sbd2 Tax Clearance Induced Info from onestepahead470.files.wordpress.com An easier way to obtain your sars tax clearance certificate is via one of our experts. 25 january 2021 please rate how useful this page was to you print this page. This could be to apply for a tender, new contract, good standing or in respect of foreign investment. Official website of the kansas department of revenue. Applying for a tax clearance certificate could cost you hours for having to stand in long queues (if you do it at a local sars branch and not online) or when you struggle to figure out all the documentation that needs to be submitted. Tax clearance submit request begin the process of requesting a new tax clearance view status view the status of a previously submitted request for tax clearance verify certificate verify the authenticity of a tax clearance certificate or confirmation number Air passenger tax payments sars intends to expand the services offered through efiling substantially as the service matures please note: What is the tax compliance status system?
What is the tax compliance status system?
An application received without payment will not be processed. The relative application form may be acquired from any branch of district tax office and may be submitted through multiple sources such as submitting via email. Your tax clearance information can be obtained via the tax compliance status system. A tax clearance review can also be initialized by the department of taxation or a partner agency (e.g., hawaii compliance express). When calling, please have your federal employer identification number (fein) and your utah entity number. As the applicant, both your affairs and those of connected parties to you will be assessed. After a company is duly incorporated by corporate affairs commission (cac) and taxpayer identity number (tin) issued by federal inland revenue service (firs), the next important statutory document is tax clearance certificate (tcc). This section outlines how you can apply for a tax clearance certificate. Application forms from other sources may be denied. Applicants are advised to submit applications for certificates at least 4 working days in advance of the date on which they require such certificate. The irs also issues tax clearance certificates in certain situations, such as applications for federal contracts. The electronic tax clearance (etc) system If application is for a bulk sale clearance certificate, attach a list of pa properties that will be retained.
Sample application letter for tax exemption in the philippines. Applicants are advised to submit applications for certificates at least 4 working days in advance of the date on which they require such certificate. When calling, please have your federal employer identification number (fein) and your utah entity number. Apply for a penalty waiver; Air passenger tax payments sars intends to expand the services offered through efiling substantially as the service matures please note:
Form A 5088 Tc Application For Tax Clearance And Instructions from formupack.com A tax clearance review can also be initialized by the department of taxation or a partner agency (e.g., hawaii compliance express). You can view this form in:. Apply for tax clearance online using etax clearance (etc) the etc service allows you to apply for a tax clearance certificate online. An easier way to obtain your sars tax clearance certificate is via one of our experts. Form year form published ; A tcc or exemption certificate is valid for a period of 12 months from the date of issue. Individuals require a paper application. To obtain an income tax clearance certificate.
This section outlines how you can apply for a tax clearance certificate.
The electronic tax clearance (etc) system For best results, download and open this form in adobe reader.see general information for details. Apply for a penalty waiver; Required documentation certification newyorkcity departmentoffinance application for vendor tax clearance certificate important. A tax clearance certificate is confirmation from revenue that your tax affairs are in order. A tax clearance certificate verifies the entity satisfied all tax obligations due to the commonwealth, including taxes, interest, penalties, fees, charges and any other liabilities. When is my return due? Tax clearance submit request begin the process of requesting a new tax clearance view status view the status of a previously submitted request for tax clearance verify certificate verify the authenticity of a tax clearance certificate or confirmation number To obtain an income tax clearance certificate. Application forms from other sources may be denied. How to file a return; Application for tax clearance certificate must be typewritten or printed. Request a tax clearance letter.
If application is for a bulk sale clearance certificate, attach a list of pa properties that will be retained. Required documentation certification newyorkcity departmentoffinance application for vendor tax clearance certificate important. A tax clearance certificate is confirmation from revenue that your tax affairs are in order at the date of issue. To obtain an income tax clearance certificate. What is the tax compliance status system?
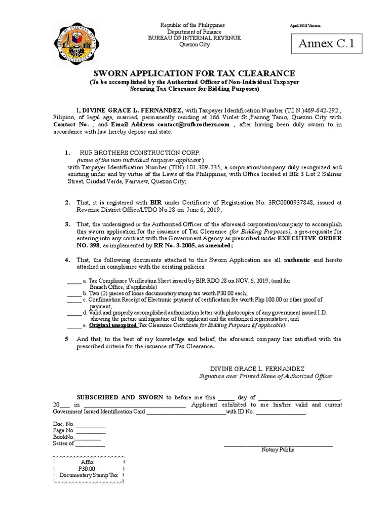
Ph Sworn Application For Tax Clearance Individual Taxpayers Fill And Sign Printable Template Online Us Legal Forms from www.pdffiller.com Unemployment insurance (uif) filing is done separately on www.ufiling.gov.za.as with efiling, you can submit your uif declarations and pay your contributions through this free service. How to file a return; To obtain an income tax clearance certificate. The application for business assistance tax clearance must be completed, signed by the applicant, and submitted to the division of taxation, at the address listed on the application. If application is for a bulk sale clearance certificate, attach a list of pa properties that will be retained. A tax clearance certificate verifies the entity satisfied all tax obligations due to the commonwealth, including taxes, interest, penalties, fees, charges and any other liabilities. Official website of the kansas department of revenue. Air passenger tax payments sars intends to expand the services offered through efiling substantially as the service matures please note:
Tax clearance submit request begin the process of requesting a new tax clearance view status view the status of a previously submitted request for tax clearance verify certificate verify the authenticity of a tax clearance certificate or confirmation number
Individuals require a paper application. Firs online tax clearance certificate (tcc) application: What you need to use the service You are expected to fill each and every item in the application and submit evidence wherever necessary. A tax clearance certificate is confirmation from revenue that your tax affairs are in order. Request a tax clearance letter. If application is for a bulk sale clearance certificate, attach a list of pa properties that will be retained. When is my return due? This section outlines how you can apply for a tax clearance certificate. A tax clearance certificate is a document issued by a state government agency, usually the department of revenue. Salary particulars for last three months of work. 25 january 2021 please rate how useful this page was to you print this page. Applicants are advised to submit applications for certificates at least 4 working days in advance of the date on which they require such certificate.
Federley Avesta Tidning - Horndal Public Group | Facebook : Och när det händer stora nyhetshändelser skickar vi ett pling till din telefon, så att du kan hålla dig uppdaterad om. . Med sin lokala förankring och stora förtroende hos läsarna håller papperstidningen fortfarande ställningarna som en effektiv lokal marknadsföringskanal. Och när det händer stora nyhetshändelser skickar vi ett pling till din telefon, så att du kan hålla dig uppdaterad om. Till helgen planeras, enligt polisens uppgifter, en motorträff i avesta. Avesta tidning bevakar det som händer nära dig för att se till att du får den bästa och viktigaste erbjudande: Om bara termometern fortsätter att visa minusgrader, så är den möjligheten inte. Последние твиты от avesta tidning (@avestatidning). Appen fungerar lika bra i din smarta. Artikeln gick till angrepp mot ebba busch thors. I appen kan du som är prenumerant läsa dagens tidning i en digital version. I appen kan du som är prenumerant läsa dagens ti...
Az Ordoguzo: A Kezdet Online - WAZ-Aktion: Fotos von Skulpturen aus Schnee der ... / Az első, az igazi ördögűző rendezői változatának három évvel ezelőtti kibocsátásával keresett 40 millió dollár után nem tűnhetett rossz ötletnek még az eredetileg kiszemelt rendező, john frankenheimer kilépett a projectből és hamarosan meghalt, és az eredeti főszereplő, liam neeson is felmondott. . Aki egyszer a gonosz arcába néz, nem szabadulhat többé az emléktől. A kezdet online film és letöltés. A második világháború idején közeli kapcsolatba került vele. Egy a borzalom kezdete csaknem észrevétlen maradt, mint a felrobbanó napok rövid lángolása, melyet csak halványan jelez a vakok szeme. Merrin atya pedig nemcsak futó pillantás vetett a megtestesült rosszra: Results of tags az ördögűző: Mélyen a templom alatt valami sokkal ősibb várakozik arra, hogy felébresszék több évezredes szendergéséből. Túlélte a borzalmakat, de nem tud többet hinni istenben és. Nahrávejte, sdílejte a stahuj...
Nebuliser Equipment : Aliexpress.com : Buy Health Care Inhaler Parts Nebulizer ... : Shop nebulizer supplies from drive, respironics, devilbiss, and more @ best prices! . This is the pediatric nebuilzer. Nebulizer treatment works by atomizing liquid medicine into an inhalable gas form, which can then be easily. Shop the top 25 most popular 1 at the best prices! A nebulizer machine is used to treat respiratory conditions with airway disorders that obstructs bronchi of the lungs, causing difficulty breathing. Webmd describes and explains the uses and benefits of both types. It is primarily used to medicate asthmatics, but also to treat people with cystic fibrosis, or other respiratory illnesses. Shop nebulizer supplies from drive, respironics, devilbiss, and more @ best prices! A nebulizer machine is used to treat respiratory conditions with airway disorders that obstructs bronchi of the lungs, causing difficulty breathing. Avail us with modern, efficient and reliable ...
Komentar
Posting Komentar